МИКРОБИОЛОГИЯ Учебное пособие — 2012
Маслянокислые бактерии привлекают внимание специалистов в области медицины и биотехнологии благодаря своей способности производить короткоцепочечные жирные кислоты, такие как масляная кислота. Врачи отмечают, что эти кислоты играют важную роль в поддержании здоровья кишечника, способствуя улучшению микробиоты и снижению воспалительных процессов. Исследования показывают, что маслянокислые бактерии могут оказывать положительное влияние на метаболизм, а также способствовать защите от различных заболеваний, включая диабет и ожирение. Врачи подчеркивают необходимость дальнейших исследований для более глубокого понимания механизмов действия этих бактерий и их потенциала в клинической практике. Учитывая растущий интерес к пробиотикам и функциональным продуктам питания, маслянокислые бактерии могут стать важным элементом в профилактике и лечении различных заболеваний, что открывает новые горизонты в медицине.

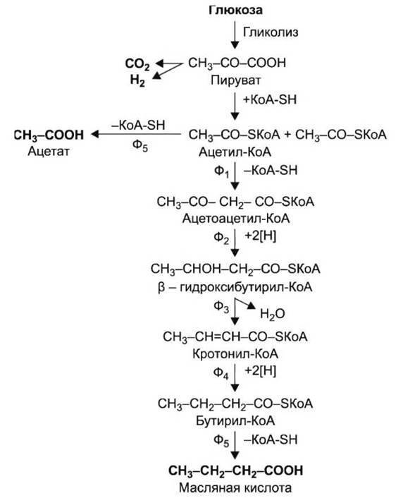
9.5.7. Маслянокислое брожение
Маслянокислое брожение протекает в строго анаэробных условиях по гексозодифосфатному пути до пирувата. Особенностью маслянокислого брожения является реакция конденсации двух молекул ацетил-КоА (т. е. С2 + С2 = С4) при участии фермента карболигазы с образованием ацетоацетил-КоА и его последующим восстановлением до масляной кислоты (рис. 33).
Рис. 33. Схема маслянокислого брожения.
Ферменты, участвующие в брожении: Ф1 — карболигаза; Ф2 — гидроксибутирил-КоА-дегидрогеназа; Ф3 — кротоназа; Ф4 — бутирил-КоА-дегидрогеназа; Ф5 — КоА-трансфераза
Типичными возбудителями маслянокислого брожения являются бактерии рода Clostridium— С. butyricumи С. pasteurianum.
Клостридии представляют собой палочковидные грамположительные бактерии, относящиеся к семейству Васillасеае. Большинство видов подвижны благодаря перитрихиально расположенным жгутикам. По мере старения клетки теряют подвижность, накапливают запасное вещество гранулезу (крахмалоподобный полисахарид) и приступают к спорообразованию. Клостридии образуют овальные или круглые эндоспоры, диаметр которых больше диаметра клетки. Если спора располагается в центре клетки, то последняя приобретает вид веретена, если же спора находится на конце клетки, клетка становится похожей на барабанную палочку или теннисную ракетку (см. рис. 10). Споры клостридий довольно терморезистентны.
Клостридии — строгие анаэробы. Не содержат гемопротеинов (цитохромов, каталазы). Оптимальная температура роста от 30 до 40 °С. Наряду с мезофильными клостридиями встречаются и термофильные виды, имеющие температурный оптимум 60—75 °С, в частности С. thermoaceticum. Как большинство представителей семейства Васillасеае, клостридии способны расти только при нейтральной или слабощелочной реакции среды. Их нежелательное размножение в пищевых продуктах может быть полностью подавлено при подкислении среды (квашение капусты и огурцов, закисание фарша в сырокопченых колбасах, маринование овощей и грибов).
По способности использовать различные субстраты клостридии можно разделить на следующие группы:
• сахаролитические — расщепляют преимущественно полисахариды или сахара. Сюда относятся С. butyricum, С. acetobutylicumи др.;
• протеолитические — расщепляют белки, пептоны, аминокислоты. В эту группу входят С. putrificum, С. sporogenes, С. histolyticum;
• пуринолитические — способные разлагать пурины и пиримидины. К этой группе относятся бактерии вида С. acidiurici.
В ходе маслянокислого брожения образовавшийся из глюкозы пируват расщепляется с образованием диоксида углерода и ацетил-КоА и восстановленного белка ферредоксина (FeS-белок). Последний передает электроны на протоны и способствует появлению еще одного из метаболитов маслянокислого брожения — водорода. Конденсация двух молекул ацетил-КоА приводит к образованию ацетоацетил-КоА, который затем восстанавливается в p-оксибутирил-КоА. В результате отщепления воды от β-оксибутирил-КоА образуется соединение с двойной углеродной связью — кротонил-КоА. Он восстанавливается в последующей реакции с образованием бутирил-КоА. Перенос кофермента А с бутирил-КоА на ацетат приводит к образованию основного метаболита — масляной кислоты.
Присутствие и размножение маслянокислых бактерий в пищевых продуктах крайне нежелательно. Вследствие образования большого количества газов при сбраживании углеводов возникают такие пороки, как позднее вспучивание сыров, бомбаж консервов. Накопление масляной кислоты приводит к появлению прогорклого вкуса и резкого неприятного запаха в продукте.
В микробиологической промышленности маслянокислое брожение используют для производства масляной кислоты, которая служит основой для получения различных эфиров. Эфиры масляной кислоты имеют приятный запах и в качестве ароматических веществ находят широкое применение в парфюмерной, кондитерской промышленности, производстве безалкогольных напитков.
ПредыдущаяСледующая
Получение органических кислот ( маслянокислое брожение)
Маслянокислое брожение — это процесс превращения сахара маслянокислыми бактериями в анаэробных условиях с образованием масляной кислоты, углекислого газа и водорода. .
С Н О — СН СН СН СООН +2СО2 + 2Н
Кроме основных продуктов брожения получаются и побочные продукты — бутиловый спирт, ацетон, этиловый спирт.
Как и при спиртовом брожении маслянокислое брожение претерпевает те же превращения до образования пировиноградной кислоты. Затем пировиноградная кислота декарбоксилируется с образованием углекислого газа и уксусного альдегида. Далее в отличии от спиртовового брожения под действием фермента карболигазы уксусный альдегид конденсируется и из 2 молекул уксусного альдегида образуется — ацетальдоль
СН СНОНСН СНО — СН СН СН СООН
Возбудители брожения — маслянокислые бактерии относятся к роду Clostridium семейству Bacillaceae . Крупные, подвижные палочки, которые образуют споры, грамположительные,. Споры термоустойчивы. Бактерии строго анаэробны. Оптимальная температура развития бактерий 30-40С. Очень чувствительны к кислотности среды, оптимум рН 6,9-7,3. При рН ниже 4,9 прекращают развиваться. Многие маслянокислые бактерии способны сбраживать не только простые сахара, но и более сложные углеводы. Постоянным местообитанием их является почва, илистые отложения на дне водоемов.
В народном хозяйстве маслянокислое брожение часто приносит значительный ущерб, вызывая массовую гибель овощей, вспучивание сыра, порчу консервов, прогоркание молока.
Маслянокислое брожение применяют для производства масляной кислоты. При биохимическом производстве масляной кислоты сырьем служат дешевые сахаро или хроммолокосодержащие вещества. Брожение ведут при 40 С в присутствии мела для нейтрализации.
Масляная кислота — бесцветная жидкость, с неприятным резким запахом. В слабых растворах обладает спец. сырным запахом.
Ацетонобутиловое брожение
Близким к маслянокислым брожению является ацетонобутиловое брожение, в процессе которого образуется больше количество бутилового спирта и ацетона, чем при обычном маслянокислом брожении. При этом образуются этиловый спирт, масляная и уксусная кислота, выделяются водород и углекислый газ.
Ацетонобутиловое брожение протекает в две фазы:
• кислотная, во время которой усиленно размножаются бактерии и в среде накапливается масляная и уксусная кислоты.
• ацетонобутиловая, в течение которой кислотность уменьшается и происходит усиленное накопление ацетона, бутилового и этилового спиртов.
И в зависимости от условий ведения процесса можно подавлять то первую, то вторую фазу брожения. Возбудители ацетонобутилового брожения представляют собой подвижные палочки, соединенные попарно. Они анаэробы, образуют споры, сбраживают крахмал, но не сбраживают клетчатку. В промышленности для производства ацетона и бутилового спирта применяют крахмалистое сырье. После отгона ацетона и спиртов из отстающего отхода (барда) используют для извлечения витамина В2, который продуцирует ацетонобутиловые бактерии. Барда используется и для выращивания метановых бактерий, которые синтезируют витамин В 12. Маслянокислые бактерии в природе принимают участие в разрушение органические веществ (углеводов, спиртов). В почве маслянокислое брожение происходит постоянно.
Маслянокислые бактерии привлекают внимание ученых благодаря своей способности производить органические кислоты, что делает их важными участниками в различных биохимических процессах. Многие исследователи отмечают, что эти микроорганизмы играют ключевую роль в разложении органических веществ, что способствует улучшению качества почвы и увеличению урожайности. В отзывах упоминается, что их использование в сельском хозяйстве может привести к более устойчивым экосистемам. Кроме того, маслянокислые бактерии находят применение в биотехнологии, где их метаболические продукты используются для создания биоразлагаемых полимеров и других полезных веществ. Однако, несмотря на положительные аспекты, некоторые ученые подчеркивают необходимость дальнейших исследований для полного понимания их воздействия на окружающую среду и возможных рисков.

История возникновения и использования брожения
Первые упоминания о том, что процесс брожения использовался людьми с целью получения определенной продукции, появились еще 5000 году до нашей эры. Именно тогда вавилоняне использовали этот способ для получения таких продуктов, как:
- вино;
- простокваша и другие молочные изделия.
Позже подобное продовольствие стали получать и в Египте, Китае, Судане, Мексике и прочих древних государствах. Стали выпекать дрожжевой хлеб, сбраживать овощные культуры, появились первые попытки консервирования.
Процесс молочнокислого брожения применялся людьми тысячелетиями
Сыры, кефиры, йогурты были важной частью трапезы во все времена. О пользе этих продуктов знали все лекари и врачеватели
Однако причины, по которым возможно превращение подобного рода, долгое время оставались неизвестными.
То, что условия брожения требуют присутствия микроорганизмов, люди даже предположить не могли. В середине XVII века Ван Гельмонт предложит ввести термин «брожение» для тех процессов приготовления пищи, которые сопровождаются выделением газа. Ведь в переводе данное слово означает «кипящий». Однако лишь в XIX веке, то есть почти двести лет спустя, французский микробиолог, химик и физик Луи Пастер открыл миру существование микробов, бактерий.
С тех пор стало известно о том, что разное брожение требует присутствия разного рода невидимых глазу микроорганизмов. Их изучение дало возможность со временем управлять брожением и направлять его в нужную человеку сторону.
Лактобактерии и человек
Еще совсем недавно никто и представить не мог, что молочнокислые палочки приносят огромную пользу человеческому организму, без них существование человека и животных было бы невозможным. Их можно встретить на всем протяжении пищеварительного тракта, где они участвуют в процессе переваривания пищи. Эти организмы не относятся к аэробам, поэтому способны хорошо выживать в условиях кишечника без доступа кислорода.
Настоящими защитниками человеческого здоровья являются бактерии рода Lactobacillus. Эти бактерии способны не только поддерживать здоровье человека, но и противостоять инфекциям, предотвращая развитие различных заболеваний. Неправильное питание и бесконтрольный прием антибиотиков приводят к снижению количества лактобактерий в организме, что, в свою очередь, приводит к снижению иммунитета. Чтобы вернуть микрофлору кишечника в нормальное состояние, необходимо употреблять в пищу продукты, которые в своем составе содержат лактобактерии (кефир, йогурт и др.). Еще одним преимуществом продуктов-пробиотиков является то, что они не способны вызывать аллергическую реакцию.

Влияние лактобактерий на здоровье детей
Молочнокислые бактерии, попадая в организм, прикрепляются к стенкам кишечника и образуют мелкие колонии. Однако такая колонизация временная, поэтому употреблять пробиотики для сохранения нормальной микрофлоры необходимо регулярно. Колонии молочнокислых бактерий не позволяют патогенным организмам размножаться в кишечнике, а также защищают организм от попадания кишечных бактерий в кровоток.
При нарушении микрофлоры кишечника, а также на фоне приема антибиотиков у детей может развиваться кандидоз (молочница). Это заболевание чаще всего встречается у новорожденных и детей, которые находятся на грудном вскармливании. Для борьбы с кандидозом назначаются противогрибковые препараты в комплексе с продуктами-пробиотиками.
Исследования показывают, что у детей, которые регулярно употребляли в пищу продукты с Lactobacillus GG, реже развивается кариес. Помимо этого, употребление в пищу таких продуктов оказывает положительное влияние на иммунную систему ребенка.
Научно доказан тот факт, что у грудничков, чьи матери во время беременности и грудного вскармливания употребляли пробиотики, атопические заболевания встречаются значительно реже, чем у тех детей, чьи мамы употребляли мало продуктов с Lactobacillus GG либо не употребляли их вовсе.
Гнилостные бактерии
Под этим названием объединяют большую группу микроорганизмов, вызывающих глубокий распад белка. При этом образуется ряд веществ, обладающих неприятным запахом, вкусом, нередко и ядовитыми свойствами. Гнилостные бактерии, встречающиеся в молоке, являются как условными аэробами, так и анаэробами, как спорообразующими, так и не образующими спор.
К условно аэробным гнилостным бактериям, часто встречающимся в молоке, относятся палочки протея — подвижные палочки различной величины, способные активно пептонизировать молоко с образованием газа. Оптимальная температура их развития 37 °С. При развитии этих микроорганизмов в молоке кислотность его сначала несколько повышается (в результате образования жирных кислот), а затем снижается в результате накопления щелочных продуктов. Эти бактерии могут попадать в молоко с оборудования, из воды и других источников. При пастеризации молока протей погибает.
К споровым бактериям относятся сенная палочка, картофельная палочка и др. Оптимальная температура их развития 30—35 °С. Все они подвижны, быстро развиваются в молоке, активно разлагая белки. При этом молоко сначала свертывается под действием выделяемого ими сычужного фермента (без существенного повышения кислотности), затем с поверхности сгустка начинается пептонизация белков молока. Под действием некоторых споровых палочек (например, сенной) пептонизация молока начинается без предварительного свертывания казеина.
Для всех гнилостных бактерий характерна чувствительность к повышению кислотности среды, что создает крайне ограниченные возможности для развития их в молочных продуктах. Во всех случаях, когда молочнокислый процесс идет активно, жизнедеятельность гнилостных бактерий подавляется. Поэтому в производстве молочных продуктов развитие гнилостных бактерий возможно только в исключительных случаях, когда полностью или в значительной мере остановлен молочнокислый процесс (развитие бактериофага, утрата активности закваски, длительное хранение иссквашенных продуктов).
Плесневые грибы
Плесневые грибы — аэробы — преимущественно развиваются при кислой реакции среды. Эти свойства определяют основные условия, в которых плесени могут развиваться в молочных продуктах (наличие воздуха, кислоты). На поверхности молочных продуктов плесени образуют свой мицелий. Перемешивание, продукта приводит к разрушению мицелия и погружению его в среду, плохо снабжаемую воздухом. Поэтому плесени развиваются главным образом на нетронутых поверхностях молочных продуктов. Плесени могут развиваться при низких и даже отрицательных температурах во время хранения молочных продуктов в холодильниках. В молоке и молочных продуктах чаше всего встречаются следующие плесневые грибы.
Молочная плесень (Geotrichum candidum — геотрихум кандидум) образует белый бархатистый мицелий на поверхности продуктов — кисломолочных, масла, сыров. Мицелий плесени состоит из многоклеточных нитей с небольшими ответвлениями. Размножается молочная плесень с помощью специальных клеток — оидий, образующихся на концах мицелия. Она разлагает молочный жир, используя его для энергетического обмена и вызывая прогоркание продуктов. В обезжиренных продуктах молочная плесень развивается менее интенсивно.
Борьба с молочной плесенью затруднена тем, что она устойчива по отношению к применяемым моющим и дезинфицирующим средствам. Основным средством профилактики развития молочной плесени является регулярная побелка производственных помещений и обработка их ультрафиолетовыми лучами с помощью бактерицидных ламп, пропаривание оборудования.
Леечная плесень (Aspergillus — аспергиллус) образует черные, зеленые, бурые или оранжевые колонии — по цвету зрелых конидий. Развитие некоторых видов леечной плесени в сгущенном молоке с сахаром приводит к образованию так называемых пуговиц — скоплений мицелия плесени и свернувшегося казеина.
Кистевидная плесень (Penicillium — пенициллиум) образует конидии зеленого, синезеленого, белого цвета. Некоторые виды кистевидной плесени играют важную роль в созревании сыров — рокфора (синезеленая плесень) и камамбера (белая плесень). Расщепляя в процессе созревания белки и жир сыра, плесени придают ему специфический вкус, аромат и внешний вид.
Некоторые виды кистевидной плесени могут быть причиной образования окрашенных пятен на поверхности сливочного масла при его хранении.
Гроздевидная плесень (Cladosporium — кладоспориум) образует споры от оливковозеленого до черного цвета. Эта плесень может довольствоваться малым количеством воздуха и развиваться внутри масла при наличии в нем небольших пустот. В результате развития гроздевидной плесени на поверхности и в глубине масла образуются черные пятна.
Шоколадно-коричневая плесень (Catenularia — катенулярия) образует мелкие, плотные, медленно развивающиеся колонии; довольствуется небольшим количеством воздуха. Плесень хорошо развивается при высоких концентрациях сахара. Эта плесень развивается в сгущенном молоке с сахаром и образует кремоватокоричневые комки — пуговицы. При развитии в молоке плесень разлагает белок, в результате чего появляется неприятный сырный привкус.
Бактериальная жизнь
Кроме той пользы, которую человек научился извлекать из образа жизни маслянокислых прокариотов, эти микроорганизмы играют огромную роль в существовании многих важных экосистем:
- маслянокислые бактерии, живущие в почве, разлагают органику на простые неорганические соединения (работают редуцентами);
- некоторые маслянокислые бактерии фиксируют азот даже из воздуха, что доступно очень узкому кругу живых организмов.
Несмотря на свою очевидную пользу, эти микроорганизмы постоянно усложняют быт человека тем, что портят его еду:
- Если пропало сливочное масло, это бактерии завелись в масле и взялись за его переработку. Именно прогорклый запах в масле – свидетельство разложения бактериями этого продукта на другие составляющие.
- Испорченные консервы, молочнокислые продукты (сыр, творог) – тоже дело Клостридий бутирикум (Clostridium butyricum).
Бактерии, сбраживающие молоко с образованием молочной кислоты, – неспорообразующие неподвижные кокки. Эти микроорганизмы вызывают свертывание молока в течение 24 часов. После того, как весь сахар сбраживается и в среде повышается уровень кислотности, образование молочной кислоты прекращается.
Основы процесса молочнокислого брожения
С химической точки зрения эти превращения представляют собой ряд последовательных стадий.
- Сначала происходит изменение исходного субстрата, то есть изменяется углеродная цепь вещества (углевода). Это приводит к появлению промежуточных соединений совершенно иной природы, относящихся к разным классам. Например, если исходный субстрат — глюкоза, то она перестраивается в глюконовую кислоту.
- Окислительно-восстановительные реакции, сопровождающиеся выделением газов, образованием побочных продуктов. Основной единицей в ходе всего процесса является молочная кислота. Именно она вырабатывается и накапливается в ходе брожения. Однако это не единственное соединение. Так, происходит формирование молекул уксусной кислоты, этилового спирта, углекислого газа, воды, иногда и других сопровождающих.
- Энергетический выход процесса в виде молекул аденозинтрифосфорной кислоты (АТФ). На одну молекулу глюкозы приходится 2 молекулы АТФ, если же исходный субстрат более сложного строения, например целлюлоза, тогда три молекулы АТФ. Эту энергию используют молочнокислые бактерии для дальнейшей жизнедеятельности.
Естественно, что если разбираться в биохимических превращениях подробно, то следует указывать все промежуточные молекулы и комплексы. Такие, например, как:
Однако этот вопрос заслуживает отдельного внимания и рассматриваться должен с точки зрения биохимии, поэтому его затрагивать в данной статье не будем. Более подробно рассмотрим, какова технология производства молочнокислых продуктов и какие виды рассматриваемого брожения существуют.
Виды молочнокислого брожения
Различают т. н. гомоферментативное и гетероферментативное молочнокислое брожение, в зависимости от выделяющихся продуктов помимо молочной кислоты и их процентного соотношения. Отличие также заключается и в разных путях получения пирувата при деградации углеводов гомо- и гетероферментативными молочнокислыми бактериями.
Гомоферментативное молочнокислое брожение
При гомоферментативном молочнокислом брожении углевод сначала окисляется до пирувата по гликолитическому пути, затем пируват восстанавливается до молочной кислоты НАДН +Н (образовавшегося на стадии гликолиза при дегидрировании глицеральдегид-3-фосфата) при помощи лактатдегидрогеназы . От стереоспецифичности лактатдегидрогеназы и наличия лактатрацемазы зависит, какой энантиомер молочной кислоты будет превалировать в продуктах- L-, D- молочная кислота или же DL-рацемат . Продуктом гомоферментативного молочнокислого брожения является молочная кислота , которая составляет не менее 90 % всех продуктов брожения. Промежуточными продуктами являются: глюкозо-6-фосфат , фруктозо-6-фосфат , фруктозо-1,6-дифосфат , 3-фосфоглицериновый альдегид, 1,3-дифосфоглицериновая кислота , пировиноградная кислота . Примеры гомоферментативных молочнокислых бактерий: Lactobacillus casei
, L. acidophilus
, Streptococcus lactis
.
Гетероферментативное молочнокислое брожение
В отличие от гомоферментативного брожения, деградация глюкозы идет по пентозофосфатному пути, образующийся из ксилулозо-5-фосфата глицеральдегид-3-фосфат окисляется до молочной кислоты, а ацетилфосфат восстанавливается до этанола (некоторые гетероферментативные молочнокислые бактерии окисляют полученный этанол частично или полностью до ацетата). Таким образом, при гетероферментативном молочнокислом брожении образуется больше продуктов: молочная кислота,
Природа позволяет человеку пользоваться теми благами, что в ней имеются. При этом люди стараются эти богатства приумножать, создавать что-то новое и познавать еще неизвестное. Бактерии — это мельчайшие создания природы, которых также научился использовать в своих целях человек.
Но не только вред, сопряженный с патогенными процессами и болезнями, несут в себе эти прокариотические организмы
Они еще являются источником важного промышленного процесса, который издревле применяется людьми — брожения. В данной статье мы рассмотрим, что собой представляет этот процесс и как осуществляется конкретно молочнокислое сбраживание веществ
Молочнокислое и маслянокислое брожение. Химизм.
Близки к маслянокислым бактериям патогенные формы — возбудители тяжелого пищевого отравления — ботулизма и возбудитель столбняка. По характеру используемых субстратов маслянокйслые бактерии делят на две группы: сахаролитическиеклостридии, сбраживающие в основном углеводы, и протеолитические клостридии, имеющие активные протеолитические ферменты и разлагающие белки, пептоны до аминокислот, которые затем подвергаются сбраживанию.
Маслянокислые бактерии довольно крупные грамположительные, подвижные палочки с перитрихиально расположенными жгутиками, образующие очень устойчивые споры, при формировании которых клетка принимает форму веретена или теннисной ракетки.
Перед образованием спор в клетках накапливается запасное крахмалоподобное вещество — полисахарид гранулеза.
Рис.33. Маслянокислые бактерии
Маслянокислые бактерии широко распространены в природе. Они обитают там, где много органических веществ и нет доступа кислорода — в иловых отложениях водоемах, в навозе, почве, в скоплениях разлагающихся отбросов, в сточной жидкости и т.п.
Их развитие в почве, где достаточно воздуха, становится возможным благодаря симбиозу с аэробными бактериями, которые используют кислород на собственные нужды. Повсеместному их распространению способствует необыкновенно высокая устойчивость спор.
Предыдущая25262728293031323334353637383940Следующая
Дата добавления: 2016-01-18; просмотров: 617;
Дрожжи
Клетки дрожжей примерно в 10 раз крупнее бактерий и имеют круглую, овальную или палочковидную форму. Оптимальная температура развития дрожжей 25—30 °С, однако они достаточно хорошо развиваются и при температуре 14—16 °С. В молоке они развиваются значительно медленнее, чем молочнокислые бактерии. Дрожжи — кислотолюбивые микроорганизмы, кроме того, они способны потреблять молочную кислоту в процессе жизнедеятельности. Поэтому дрожжи постоянно обнаруживаются в молочных продуктах.
Развиваясь в молоке, дрожжи вырабатывают спирт, диоксид углерода и придают продуктам специфический дрожжевой вкус и запах. Кроме того, они активизируют развитие молочнокислых бактерий, обогащают молочные продукты витаминами группы В. Некоторые дрожжи способны вырабатывать специфические антибиотические вещества, активные по отношению к туберкулезной палочке и другим микроорганизмам.
В молоке и молочных продуктах встречаются в основном три группы дрожжей: не сбраживающие сахара; не сбраживающие молочный сахар, но сбраживающие другие сахара; сбраживающие молочный сахар. Первая группа может развиваться в молоке благодаря присутствию молочнокислых бактерий, образующих молочную кислоту, которая служит для них источником энергии, вторая — благодаря присутствию дрожжей, сбраживающих молочный сахар (вырабатываемый ими фермент лактаза расщепляет молочный сахар на глюкозу и галактозу, доступные для этих групп), а также благодаря присутствию молочнокислых бактерий. Дрожжи, не сбраживающие молочный сахар, распространены в маточных продуктах не меньше, чем сбраживающие молочный сахар.
Дрожжи входят в состав заквасок для кефира, кумыса, ацидофильнодрожжевого молока и являются обязательным компонентом микрофлоры кисломолочных продуктов, приготовляемых па естественных заквасках (в домашних условиях). Дрожжи применяют в маслоделии для повышения стойкости масла. В то же время так называемые дикие дрожжи могут вызывать пороки молочных продуктов. Интенсивное их развитие на поверхности творога, сметаны, масла приводит к порче этих продуктов. Потребляя молочную кислоту, дрожжи вызывают разложение белков и способствуют развитию гнилостных бактерий, что приводит к дальнейшей порче продуктов.
Брожение молочнокислое: общее понятие
Этот вид брожения известен с самой древности. Еще до нашей эры жители Древнего Египта и прочих государств умели изготовлять сыр, варить пиво и вино, выпекать хлеб, сквашивать овощи и фрукты.
Сегодня используются специальные закваски для кисломолочных продуктов, искусственно выращиваются штаммы нужных микроорганизмов. Процесс модернизирован и доведен до автоматизма, проводится при помощи комплектационного оборудования. Существует множество заводов-изготовителей, которые непосредственно производят брожение молочнокислое.
Суть всего процесса можно изложить в нескольких пунктах.
- За основной продукт исходный берется углевод — простой (фруктоза, глюкоза, пентозы) или сложный (сахароза, крахмал, гликоген и прочие).
- Создаются анаэробные условия.
- В продукт подселяются штаммы молочнокислых бактерий определенного вида.
- Обеспечиваются все необходимые внешние факторы, которые являются оптимальными для желаемого продукта: освещенность, температура, наличие тех или иных добавочных компонентов, давление.
- После завершения процесса брожения происходит обработка продукта и выделение всех побочных соединений.
Конечно, это лишь общее описание происходящего. На самом деле на каждом этапе происходит множество сложных биохимических реакций, ведь процесс молочнокислого брожения — это результат жизнедеятельности живых существ.
Не все бактерии полезны
Несмотря на множество положительных свойств, которыми обладает большинство видов молочнокислых палочек, среди них существуют и те, что способны нанести вред человеку или же вызвать порчу продуктов. Не так давно за рубежом ученые заявили о том, что некоторые из молочнокислых бактерий, к примеру спорообразующие бактерии B. antracis и B. Cereus, являются небезопасными для человека.
Еще одним из видов, которые способны вызвать порчу продуктов, являются Micrococcaceae. Эти организмы – аэробы, но среди них могут встречаться и факультативные анаэробы. Попав на продукты, они могут стать причиной их порчи: пятна на поверхности сыра, прогорклый вкус сливочного масла, загустевание и горький вкус молока. Размножаясь в благоприятной среде, они способны образовывать круглые колонии средней величины.
Патогенные организмы вида Staphylococcus aureus в отличие от Micrococcaceae в большинстве своем не строгие аэробы. Они могут развиваться в среде с доступом кислорода и существовать как аэробы, хотя при попадании в среду без воздуха способны менять тип дыхания на анаэробный. Эти организмы могут стать причиной тяжелых отравлений и способны нанести серьезный вред здоровью человека и животных.
Вызвать порчу молочных продуктов могут не только бактерии молочнокислого брожения, но и маслянокислые, которые также не относятся к аэробам. В процессе маслянокислого брожения молочные продукты приобретают неприятный вкус и запах.
Необходимое оборудование
Как мы уже отметили выше, среди самых важных атрибутов следует отметить емкость для брожения
Если говорить о домашнем проведении процедуры, то тогда следует обратить внимание на чистоту используемой посуды при консервации, изготовлении простокваши и прочих продуктов. Одним из способов добиться сокращения численности посторонних популяций микроорганизмов является стерилизация емкостей перед их использованием
Какая посуда подойдет для гетероферментативного брожения? Это может быть стеклянная либо качественная пластиковая (полипропиленовая, полиэтиленовая) емкость, которая способна плотно закрываться крышкой.
В промышленности используют специальные устройства для обеззараживания и очищения тары перед началом процесса брожения.
Гомоферментативное брожение
Гомоферментативное брожение молочнокислое подразумевает использование специальных форм возбудителей и отличается от гетероферментативного получаемыми продуктами и их количеством. Происходит оно по гликолитическому пути внутри клетки микроорганизма. Суть состоит, как и в целом у любого брожения, в превращении углеводов в молочную кислоту. Основное преимущество подобного процесса в том, что выход нужного продукта составляет 90%. И лишь оставшаяся часть уходит на побочные соединения.
Бактерии брожения такого типа следующих видов:
- Streptococcus lactis.
- Lactobacillus casei.
- Lactobacillus acidophilus и другие.
Какие еще вещества образуются в результате гомоферментативного брожения? Это такие соединения, как:
- этиловый спирт;
- летучие кислоты;
- углекислый газ;
- фумаровая и янтарная кислота.
Однако в промышленности этот способ получения кисломолочной продукции практически не используется. Он сохранился в природе как первоначальный этап гликолиза, он же происходит в клетках мышц млекопитающих при обширных физических нагрузках.
Технология производства нужных продуктов для питания людей подразумевает использование таких исходных углеводов, как:
А гомоферментативные бактерии не способны окислять многие из этих соединений, поэтому их использование в качестве заквасок при производстве не представляется возможным.
Смешанное брожение
В результате этого вида анаэробного дыхания микроорганизмов из глюкозы производится целая сложная смесь кислот:
- ацетат (уксусная кислота);
- лактат;
- сукцинат (янтарная кислота);
- формиат (муравьиная кислота).
Микроорганизмы, которые осуществляют дыхание через смешанное брожение, в процессе систематизации выделили в отдельный порядок – энтеробактерии (Enterobacteriaceae). В этот порядок входят практически все основные возбудители кишечных инфекций человека: сальмонеллы, кишечные палочки, шигеллы, клебсиеллы.
В отсутствие глюкозы эти микроорганизмы могут переходить на кислородный способ дыхания (факультативные анаэробы). Они очень нетребовательны к субстрату для роста и размножения, но некоторые виды погибают при повышении температуры среды.
Живут в кишечнике человека, при проведении санитарно-эпидемиологических исследований являются симптомом наличия фекального загрязнения.
Вопрос-ответ
Что такое маслянокислые бактерии и какую роль они играют в экосистеме?
Маслянокислые бактерии — это группа анаэробных микроорганизмов, которые способны производить масляную кислоту в процессе ферментации углеводов. Они играют важную роль в разложении органических веществ, способствуя восстановлению питательных веществ в экосистеме и поддержанию баланса в микробиомах различных сред, таких как почва и кишечник животных.
Как маслянокислые бактерии могут быть использованы в промышленности?
Маслянокислые бактерии находят применение в биотехнологии, особенно в производстве биотоплива и органических кислот. Они могут быть использованы для переработки отходов, таких как сельскохозяйственные остатки, в ценные продукты, включая биогаз и масляную кислоту, что способствует устойчивому развитию и снижению экологической нагрузки.
Каковы основные условия для роста маслянокислых бактерий?
Для оптимального роста маслянокислых бактерий необходимы анаэробные условия, подходящая температура (обычно от 30 до 40 градусов Цельсия) и наличие углеводов, таких как глюкоза или целлюлоза. Также важен уровень pH, который должен быть слегка кислым для обеспечения эффективной ферментации.
Советы
СОВЕТ №1
Изучите основные характеристики маслянокислых бактерий, такие как их морфология, метаболизм и условия роста. Это поможет вам лучше понять их роль в производстве кислот и их применение в различных отраслях.
СОВЕТ №2
Обратите внимание на методы исследования и анализа, используемые для изучения маслянокислых бактерий. Знание современных технологий, таких как молекулярная биология и метагеномика, может значительно обогатить ваше понимание темы.
СОВЕТ №3
Изучите примеры практического применения маслянокислых бактерий в промышленности, например, в производстве биотоплива или в пищевой промышленности. Это поможет вам увидеть реальную значимость этих микроорганизмов в современном мире.
СОВЕТ №4
Не забывайте о важности экологических аспектов. Рассмотрите влияние маслянокислых бактерий на окружающую среду и их потенциал в биоремедиации, что может быть интересным дополнением к вашему реферату.

























































